HL Paper 2
An acidic sample of a waste solution containing Sn2+(aq) reacted completely with K2Cr2O7 solution to form Sn4+(aq).
Identify one organic functional group that can react with acidified K2Cr2O7(aq).
Corrosion of iron is similar to the processes that occur in a voltaic cell. The initial steps involve the following half-equations:
Fe2+(aq) + 2e– \( \rightleftharpoons \) Fe(s)
\(\frac{1}{2}\)O2(g) + H2O(l) + 2e– \( \rightleftharpoons \) 2OH–(aq)
Calculate E θ, in V, for the spontaneous reaction using section 24 of the data booklet.
Calculate the Gibbs free energy, ΔG θ, in kJ, which is released by the corrosion of 1 mole of iron. Use section 1 of the data booklet.
Explain why iron forms many different coloured complex ions.
Zinc is used to galvanize iron pipes, forming a protective coating. Outline how this process prevents corrosion of the iron pipes.
There are only two isotopes, \(_{{\text{29}}}^{{\text{63}}}{\text{Cu}}\) and \(_{{\text{29}}}^{{\text{65}}}{\text{Cu}}\), in naturally occurring copper.
A chemist considered preparing a copper(I) salt by reacting copper metal with the corresponding copper(II) salt according to the equation below.
\[{\text{C}}{{\text{u}}^{2 + }}{\text{(aq)}} + {\text{Cu (s)}} \to {\text{2C}}{{\text{u}}^ + }{\text{(aq)}}\]
The relative atomic mass of copper is 63.55. Calculate the percentage of \(_{{\text{29}}}^{{\text{63}}}{\text{Cu}}\) in the naturally occurring element.
State the full electronic configuration of a copper atom.
Explain why most copper(II) compounds are coloured, whereas most copper(I) compounds are not.
(i) Using data from Table 14 of the Data Booklet, calculate the cell potential for this reaction.
(ii) Use this result to predict, with a reason, whether this reaction will be spontaneous.
The concentration of a solution of a weak acid, such as ethanedioic acid, can be determined
by titration with a standard solution of sodium hydroxide, NaOH (aq).
5.00 g of an impure sample of hydrated ethanedioic acid, (COOH)2•2H2O, was dissolved in water to make 1.00 dm3 of solution. 25.0 cm3 samples of this solution were titrated against a 0.100 mol dm-3 solution of sodium hydroxide using a suitable indicator.
(COOH)2 (aq) + 2NaOH (aq) → (COONa)2 (aq) + 2H2O (l)
The mean value of the titre was 14.0 cm3.
(i) Suggest a suitable indicator for this titration. Use section 22 of the data booklet.
(ii) Calculate the amount, in mol, of NaOH in 14.0 cm3 of 0.100 mol dm-3 solution.
(iii) Calculate the amount, in mol, of ethanedioic acid in each 25.0 cm3 sample.
(iv) Determine the percentage purity of the hydrated ethanedioic acid sample.
Draw the Lewis (electron dot) structure of the ethanedioate ion, –OOCCOO–.
Outline why all the C–O bond lengths in the ethanedioate ion are the same length and suggest a value for them. Use section 10 of the data booklet.
Explain how ethanedioate ions act as ligands.
Chromium is a transition metal with many uses.
A voltaic cell is constructed as follows. One half-cell contains a chromium electrode immersed in a solution containing \({\text{C}}{{\text{r}}^{3 + }}{\text{(aq)}}\) ions. The other half-cell contains a copper electrode immersed in a solution containing \({\text{C}}{{\text{u}}^{2 + }}{\text{(aq)}}\) ions. The two electrodes are connected to a voltmeter and the two solutions by a salt bridge.

Draw an orbital diagram (using the arrow-in-box notation) showing the electrons in the 4s and 3d sub-levels in chromium metal.
Outline the nature of the metallic bonding present in chromium.
Explain why chromium metal is malleable.
State the name of \({\text{C}}{{\text{r}}_{\text{2}}}{{\text{O}}_{\text{3}}}\).
Describe the ionic bonding present in \({\text{C}}{{\text{r}}_{\text{2}}}{{\text{O}}_{\text{3}}}\) and how the ions are formed.
Suggest why solid \({\text{C}}{{\text{r}}_{\text{2}}}{{\text{O}}_{\text{3}}}\) does not conduct electricity.
Chromium forms the complex ion \({[{\text{Cr}}{({\text{N}}{{\text{H}}_{\text{3}}})_{\text{4}}}{\text{C}}{{\text{l}}_2}]^ + }\).
Deduce the oxidation number of chromium in this complex.
Chromium forms the complex ion \({[{\text{Cr}}{({\text{N}}{{\text{H}}_{\text{3}}})_{\text{4}}}{\text{C}}{{\text{l}}_2}]^ + }\).
Describe the nature of the ligand-chromium ion bonds in terms of acid-base theory.
Chromium forms the complex ion \({[{\text{Cr}}{({\text{N}}{{\text{H}}_{\text{3}}})_{\text{4}}}{\text{C}}{{\text{l}}_2}]^ + }\).
Explain why \({[{\text{Cr}}{({\text{N}}{{\text{H}}_{\text{3}}})_{\text{4}}}{\text{C}}{{\text{l}}_{\text{2}}}{\text{]}}^ + }\) is coloured.
Chromium forms the complex ion \({[{\text{Cr}}{({\text{N}}{{\text{H}}_{\text{3}}})_{\text{4}}}{\text{C}}{{\text{l}}_2}]^ + }\).
Draw the structures of two possible isomers of this complex ion.
The dichromate ion, \({\text{C}}{{\text{r}}_{\text{2}}}{\text{O}}_{\text{7}}^{2 - }{\text{(aq)}}\), and the iodide ion, \({{\text{I}}^ - }{\text{(aq)}}\), react together in the presence of an acid to form \({\text{C}}{{\text{r}}^{3 + }}{\text{(aq)}}\) and \({\text{IO}}_3^ - {\text{(aq)}}\) ions. Deduce the half-equation for the reaction of \({{\text{I}}^ - }\) to \({\text{IO}}_3^ - \) and the overall equation for this reaction.
Half-equation:
Overall equation:
Explain in terms of oxidation numbers whether iodine is oxidized or reduced in part (d) (i).
Define the term standard electrode potential.
Calculate the cell potential, in V, under standard conditions, for this voltaic cell, using table 14 of the data booklet and \({\text{E}}_{{\text{C}}{{\text{r}}^{3 + }}/{\text{Cr}}}^\Theta = -0.74{\text{ V}}\).
Predict the balanced equation for the spontaneous reaction which will produce a current in this voltaic cell.
Identify the negative and the positive electrodes in this cell.
Predict the direction of movement of electrons in the external circuit.
State the directions in which the negative ions (anions) and the positive ions (cations) flow in the salt bridge.
The graph of the first ionization energy plotted against atomic number for the first twenty elements shows periodicity.

Explain how information from this graph provides evidence for the existence of main energy levels and sub-levels within atoms.
State what is meant by the term second ionization energy.
Sketch and explain the shape of the graph obtained for the successive ionization energies of potassium using a logarithmic scale for ionization energy on the y-axis against number of electrons removed on the x-axis.

State the full electronic configurations of copper, Cu, and the copper(I) ion, \({\text{C}}{{\text{u}}^ + }\).
Explain why copper(II) compounds in aqueous solution are coloured whereas scandium(III) compounds in aqueous solution are colourless.
Millerite, a nickel sulfide mineral, is an important source of nickel. The first step in extracting nickel is to roast the ore in air.
The reaction for the formation of liquid tetracarbonylnickel is shown below:
\[{\text{Ni(s)}} + 4{\text{CO(g)}} \to {\text{Ni(CO}}{{\text{)}}_4}{\text{(l)}}\]
Formulate an equation for the oxidation of nickel(II) sulfide to nickel(II) oxide.
The nickel obtained from another ore, nickeliferous limonite, is contaminated with iron. Both nickel and iron react with carbon monoxide gas to form gaseous complexes, tetracarbonylnickel, \({\text{Ni(CO}}{{\text{)}}_{\text{4}}}{\text{(g)}}\), and pentacarbonyliron, \({\text{Fe(CO}}{{\text{)}}_{\text{5}}}{\text{(g)}}\). Suggest why the nickel can be separated from the iron successfully using carbon monoxide.
Calculate the standard entropy change, \(\Delta {S^\theta }\), of the reaction, in \({\text{J}}\,{{\text{K}}^{ - 1}}\), using the values given.
Calculate a value for \(\Delta {H^\theta }\) in kJ.
Use your answers to (c)(i) and (c)(ii), to determine the temperature, in °C, at which the decomposition of liquid tetracarbonylnickel to nickel and carbon monoxide becomes favourable.
(If you did not get answers to (c)(i) and (c)(ii), use \( - 500{\text{ J}}\,{{\text{K}}^{ - 1}}\) and \( - 200{\text{ kJ}}\) respectively but these are not the correct answers.)
Suggest why experiments involving tetracarbonylnickel are very hazardous.
Hydrogen peroxide decomposes according to the equation below.
\({\text{2}}{{\text{H}}_{\text{2}}}{{\text{O}}_{\text{2}}}{\text{(aq)}} \to {\text{2}}{{\text{H}}_{\text{2}}}{\text{O(l)}} + {{\text{O}}_{\text{2}}}{\text{(g)}}\)
The rate of the decomposition can be monitored by measuring the volume of oxygen gas released. The graph shows the results obtained when a solution of hydrogen peroxide decomposed in the presence of a CuO catalyst.

Outline how the initial rate of reaction can be found from the graph.
Explain how and why the rate of reaction changes with time.
A Maxwell-Boltzmann energy distribution curve is drawn below. Label both axes and explain, by annotating the graph, how catalysts increase the rate of reaction.

(i) In some reactions, increasing the concentration of a reactant does not increase the rate of reaction. Describe how this may occur.
(ii) Consider the reaction
\[{\text{2A}} + {\text{B}} \to {\text{C}} + {\text{D}}\]
The reaction is first order with respect to A, and zero order with respect to B. Deduce the rate expression for this reaction.
Sketch a graph of rate constant \((k)\) versus temperature.

Hydrochloric acid neutralizes sodium hydroxide, forming sodium chloride and water.
\({\text{NaOH(aq)}} + {\text{HCl(aq)}} \to {\text{NaCl(aq)}} + {{\text{H}}_{\text{2}}}{\text{O(l)}}\) \(\Delta {H^\Theta } = - 57.9{\text{ kJ}}\,{\text{mo}}{{\text{l}}^{ - 1}}\)
(i) Define standard enthalpy change of reaction, \(\Delta {H^\Theta }\).
(ii) Determine the amount of energy released, in kJ, when \({\text{50.0 c}}{{\text{m}}^{\text{3}}}\) of \({\text{1.00 mol}}\,{\text{d}}{{\text{m}}^{ - 3}}\) sodium hydroxide solution reacts with \({\text{50.0 c}}{{\text{m}}^{\text{3}}}\) of \({\text{1.00 mol}}\,{\text{d}}{{\text{m}}^{ - 3}}\) hydrochloric acid solution.
(iii) In an experiment, 2.50 g of solid sodium hydroxide was dissolved in \({\text{50.0 c}}{{\text{m}}^{\text{3}}}\) of water. The temperature rose by 13.3 °C. Calculate the standard enthalpy change, in \({\text{kJ}}\,{\text{mo}}{{\text{l}}^{ - 1}}\), for dissolving one mole of solid sodium hydroxide in water.
\[{\text{NaOH(s)}} \to {\text{NaOH(aq)}}\]
(iv) Using relevant data from previous question parts, determine \(\Delta {H^\Theta }\), in \({\text{kJ}}\,{\text{mo}}{{\text{l}}^{ - 1}}\), for the reaction of solid sodium hydroxide with hydrochloric acid.
\[{\text{NaOH(s)}} + {\text{HCl(aq)}} \to {\text{NaCl(aq)}} + {{\text{H}}_{\text{2}}}{\text{O(l)}}\]
(i) Zinc is found in the d-block of the periodic table. Explain why it is not considered a transition metal.
(ii) Explain why \({\text{F}}{{\text{e}}^{3 + }}\) is a more stable ion than \({\text{F}}{{\text{e}}^{2 + }}\) by reference to their electron configurations.
Titanium and vanadium are consecutive elements in the first transition metal series.
\({\text{TiC}}{{\text{l}}_{\text{4}}}\) reacts with water and the resulting titanium(IV) oxide can be used as a smoke screen.
Describe the bonding in metals.
Titanium exists as several isotopes. The mass spectrum of a sample of titanium gave the following data:

Calculate the relative atomic mass of titanium to two decimal places.
State the number of protons, neutrons and electrons in the \(_{{\text{22}}}^{{\text{48}}}{\text{Ti}}\) atom.

State the full electron configuration of the \(_{{\text{22}}}^{{\text{48}}}{\text{T}}{{\text{i}}^{2 + }}\) ion.
Suggest why the melting point of vanadium is higher than that of titanium.
Sketch a graph of the first six successive ionization energies of vanadium on the axes provided.

Explain why an aluminium-titanium alloy is harder than pure aluminium.
Describe, in terms of the electrons involved, how the bond between a ligand and a central metal ion is formed.
Outline why transition metals form coloured compounds.
State the type of bonding in potassium chloride which melts at 1043 K.
A chloride of titanium, \({\text{TiC}}{{\text{l}}_{\text{4}}}\), melts at 248 K. Suggest why the melting point is so much lower than that of KCl.
Formulate an equation for this reaction.
Suggest one disadvantage of using this smoke in an enclosed space.
Chromium is a typical transition metal with many uses.
A voltaic cell is constructed as follows. One half-cell contains a platinum electrode in a solution containing \({{\text{K}}_{\text{2}}}{\text{C}}{{\text{r}}_{\text{2}}}{{\text{O}}_{\text{7}}}\) and \({{\text{H}}_{\text{2}}}{\text{S}}{{\text{O}}_{\text{4}}}\). The other half-cell contains an iron electrode in a solution containing \({\text{F}}{{\text{e}}^{2 + }}\) ions. The two electrodes are connected to a voltmeter and the two solutions by a salt bridge.
Distinguish between the terms oxidation and reduction in terms of oxidation numbers.
State the names of \({\text{C}}{{\text{r}}_{\text{2}}}{{\text{O}}_{\text{3}}}\) and \({\text{Cr}}{{\text{O}}_{\text{3}}}\).
\({\text{C}}{{\text{r}}_{\text{2}}}{{\text{O}}_{\text{3}}}\):
\({\text{Cr}}{{\text{O}}_{\text{3}}}\):
Define the term oxidizing agent.
\({\text{C}}{{\text{r}}_{\text{2}}}{\text{O}}_7^{2 - }{\text{(aq)}}\) and \({{\text{I}}^ - }{\text{(aq)}}\) ions react together in the presence of acid to form \({\text{C}}{{\text{r}}^{3 + }}{\text{(aq)}}\) and \({\text{IO}}_3^ - {\text{(aq)}}\) ions. Deduce the balanced chemical equation for this redox reaction and identify the species that acts as the oxidizing agent.
Draw a diagram of the voltaic cell, labelling the positive and negative electrodes (cathode and anode) and showing the direction of movement of the electrons and ions. Deduce an equation for the reaction occurring in each of the half-cells, and the equation for the overall cell reaction.
Define the term standard electrode potential.
Calculate the cell potential, in V, under standard conditions, using information from Table 14 of the Data Booklet.
State two characteristic properties of transition elements.
State the type of bond formed by a ligand and identify the feature that enables it to form this bond.
Explain why the complex \({{\text{[Cr(}}{{\text{H}}_{\text{2}}}{\text{O}}{{\text{)}}_{\text{6}}}{\text{]}}^{{\text{3 + }}}}\) is coloured.
Draw an orbital box diagram (arrow-in-box notation) showing the electrons in the 4s and 3d sub-levels in chromium metal.
Chromium is often used in electroplating. State what is used as the positive electrode (anode), the negative electrode (cathode) and the electrolyte in the chromium electroplating process.
Lithium and boron are elements in period 2 of the periodic table. Lithium occurs in group 1 (the alkali metals) and boron occurs in group 3. Isotopes exist for both elements.
The electron configuration of boron is \({\text{1}}{{\text{s}}^{\text{2}}}{\text{2}}{{\text{s}}^{\text{2}}}{\text{2}}{{\text{p}}^{\text{1}}}\). Draw the shape of an s orbital and a \({{\text{p}}_x}\) orbital on the axes below.

(ii) Cobalt is a transition metal. One common ion of cobalt is \({\text{C}}{{\text{o}}^{3 + }}\). Draw the orbital diagram (using the arrow-in-box notation) for the \({\text{C}}{{\text{o}}^{3 + }}\) ion.

(iii) State the other most common ion of cobalt.
(iv) Explain why the complex \({\text{[Co(N}}{{\text{H}}_{\text{3}}}{{\text{)}}_{\text{6}}}{\text{]C}}{{\text{l}}_{\text{3}}}\) is coloured.
EUK-134, the structure of which is shown below, is a complex ion of manganese(III) that is used in expensive sun-protection products because of its powerful antioxidant properties.

State the electron configuration of the manganese ion in EUK-134.
State the name given to species that bond to a central metal ion, and identify the type of bond present.
Name given:
Type of bond:
Transition metals have certain characteristic properties. State two properties that are involved in EUK-134 rapidly decreasing the concentration of oxidizing agents.
Substances like EUK-134 are often coloured. Explain why compounds of transition metals absorb visible radiation.
An electrochemical cell is made from an iron half-cell connected to a cobalt half-cell:

The standard electrode potential for \({\text{F}}{{\text{e}}^{2 + }}{\text{(aq)}} + {\text{2}}{{\text{e}}^ - } \rightleftharpoons {\text{Fe(s)}}\) is –0.45 V. The total cell potential obtained when the cell is operating under standard conditions is 0.17 V. Cobalt is produced during the spontaneous reaction.
An electrolytic cell is made using a very dilute solution of sodium chloride.
Predict the products by giving the relevant half-equation for the reaction occurring at each electrode if the electrolyte of the cell described in part (c) was changed to:
Define the term standard electrode potential and state the meaning of the minus sign in the value of –0.45 V.
Calculate the value for the standard electrode potential for the cobalt half-cell.
Deduce which species acts as the oxidizing agent when the cell is operating.
Deduce the equation for the spontaneous reaction taking place when the iron half-cell is connected instead to an aluminium half-cell.
Explain the function of the salt bridge in an electrochemical cell.
\({{\text{[Co(}}{{\text{H}}_{\text{2}}}{\text{O}}{{\text{)}}_{\text{6}}}{\text{]}}^{2 + }}\)
\({\text{C}}{{\text{o}}_{\text{2}}}{{\text{(S}}{{\text{O}}_{\text{4}}}{\text{)}}_{\text{3}}}\)
\({{\text{[CoC}}{{\text{l}}_{\text{4}}}{\text{]}}^{2 - }}\)
Draw a labelled diagram of the cell. Use an arrow to show the direction of the electron flow and identify the positive and negative electrodes.
Give the formulas of all the ions present in the solution.
Predict the products obtained at each electrode and state the half-equation for the formation of each product.
Deduce the molar ratios of the products obtained at the two electrodes.
concentrated sodium chloride
molten sodium bromide
The oxides and chlorides of period 3 elements exhibit periodicity.
Chlorine gas, \({\text{C}}{{\text{l}}_{\text{2}}}{\text{(g)}}\), is bubbled through separate solutions of aqueous bromine, \({\text{B}}{{\text{r}}_{\text{2}}}{\text{(aq)}}\), and potassium bromide, \({\text{KBr(aq)}}\).
The hydrogen halides do not show perfect periodicity. A bar chart of boiling points shows that the boiling point of hydrogen fluoride, HF, is much higher than periodic trends would indicate.

Transition metals form complex ions which are usually coloured.
(i) State the changes in the acid-base nature of the oxides across period 3 (from \({\text{N}}{{\text{a}}_2}{\text{O}}\) to \({\text{C}}{{\text{l}}_{\text{2}}}{{\text{O}}_{\text{7}}}\)), including equations for the reactions of \({\text{N}}{{\text{a}}_2}{\text{O}}\) and \({\text{S}}{{\text{O}}_{\text{3}}}\) with water.
(ii) State whether or not molten aluminium chloride, \({\text{A}}{{\text{l}}_{\text{2}}}{\text{C}}{{\text{l}}_{\text{6}}}\), and molten aluminium oxide, \({\text{A}}{{\text{l}}_{\text{2}}}{{\text{O}}_{\text{3}}}\), conduct electricity. Explain this behaviour in terms of the structure and bonding of the two compounds.
(iii) State the equation for the reaction of \({\text{C}}{{\text{l}}_{\text{2}}}\) with water.
(i) Predict any changes that may be observed in each case.
\({\text{B}}{{\text{r}}_{\text{2}}}{\text{(aq)}}\):
\({\text{KBr(aq)}}\):
(ii) State the half-equations for the reactions that occur.
(i) Explain why the boiling point of HF is much higher than the boiling points of the other hydrogen halides.
(ii) Explain the trend in the boiling points of HCl, HBr and HI.
State the full electron configurations of Cr and \({\text{C}}{{\text{r}}^{3 + }}\).
Cr:
\({\text{C}}{{\text{r}}^{3 + }}\):
\({\text{C}}{{\text{r}}^{3 + }}\) ions and water molecules bond together to form the complex ion \({{\text{[Cr(}}{{\text{H}}_{\text{2}}}{\text{O}}{{\text{)}}_{\text{6}}}{\text{]}}^{3 + }}\).
Describe how the water acts and how it forms the bond, identifying the acid-base character of the reaction.
Explain why the \({{\text{[Cr(}}{{\text{H}}_{\text{2}}}{\text{O}}{{\text{)}}_{\text{6}}}{\text{]}}^{3 + }}\) ion is coloured.
Outline, including a relevant equation, whether the \({{\text{[Cr(}}{{\text{H}}_{\text{2}}}{\text{O}}{{\text{)}}_{\text{6}}}{\text{]}}^{3 + }}\) ion is acidic, basic or neutral.
Explain how the number of electrons in the outer main energy level of phosphorus, P, can be determined using the data of successive ionization energies.
Draw the shape of the \({{\text{p}}_{\text{z}}}\) orbital using the coordinates shown.

State the electron configuration of \({\text{F}}{{\text{e}}^{3 + }}\).
Define the term ligand.
Explain why the complex \({{\text{[Fe(}}{{\text{H}}_{\text{2}}}{\text{O}}{{\text{)}}_{\text{6}}}{\text{]}}^{3 + }}\) is coloured.
The element selenium \({\text{(}}Z = 34{\text{)}}\) has electrons in the 4s, 3d and 4p orbitals. Draw an orbital box diagram (arrow-in-box notation) to represent these electrons.
The periodic table shows the relationship between electron configuration and the properties of elements and is a valuable tool for making predictions in chemistry.
The ten elements in the first-row d-block have characteristic properties and many uses.
Define the term electronegativity.
(i) Outline two reasons why a sodium ion has a smaller radius than a sodium atom.
(ii) Explain why the ionic radius of \({{\text{P}}^{3 - }}\) is greater than the ionic radius of \({\text{S}}{{\text{i}}^{4 + }}\).
The graph below represents the successive ionization energies of sodium. The vertical axis plots log (ionization energy) instead of ionization energy to allow the data to be represented without using an unreasonably long vertical axis.

State the full electron configuration of sodium and explain how the successive ionization energy data for sodium are related to its electron configuration.
(i) Explain why the first ionization energy of aluminium is lower than the first ionization energy of magnesium.
(ii) Explain why the first ionization energy of sulfur is lower than the first ionization energy of phosphorus.
State and explain the type of reaction that takes place between \({\text{F}}{{\text{e}}^{3 + }}\) and \({{\text{H}}_{\text{2}}}{\text{O}}\) to form \({{\text{[Fe(}}{{\text{H}}_{\text{2}}}{\text{O}}{{\text{)}}_{\text{6}}}{\text{]}}^{3 + }}\) in terms of acid-base theories.
Explain why \({{\text{[Fe(}}{{\text{H}}_{\text{2}}}{\text{O}}{{\text{)}}_{\text{6}}}{\text{]}}^{3 + }}\) is coloured.
Outline the economic significance of the use of a catalyst in the Haber process which is an exothermic reaction.
Phosphoryl chloride, \({\text{POC}}{{\text{l}}_{\text{3}}}\), is a dehydrating agent.
\({\text{POC}}{{\text{l}}_{\text{3}}}\left( {\text{g}} \right)\) decomposes according to the following equation.
\[{\text{2POC}}{{\text{l}}_3}{\text{(g)}} \to {\text{2PC}}{{\text{l}}_3}{\text{(g)}} + {{\text{O}}_2}{\text{(g)}}\]
POCl3 can be prepared by the reaction of phosphorus pentachloride, PCl5 , with tetraphosphorus decaoxide, P4O10.
PCl3 and Cl– can act as ligands in transition metal complexes such as Ni(PCl3)4 and [Cr(H2O)3Cl3].
Predict and explain the sign of the entropy change, \(\Delta S\), for this reaction.
Calculate the standard entropy change for the reaction, \(\Delta {S^\Theta }\), in \({\text{J}}\,{{\text{K}}^{ - 1}}{\text{mo}}{{\text{l}}^{ - 1}}\), using the data below.

Define the term standard enthalpy change of formation, \(\Delta H_{\text{f}}^\Theta \).
Calculate the standard enthalpy change for the reaction, \(\Delta {H^\Theta }\), in \({\text{kJ}}\,{\text{mo}}{{\text{l}}^{ - 1}}\), using the data below.

Determine the standard free energy change for the reaction, \(\Delta {G^\Theta }\), in \({\text{kJ}}\,{\text{mo}}{{\text{l}}^{ - 1}}\), at 298 K.
Deduce the temperature, in K, at which the reaction becomes spontaneous.
Deduce the Lewis (electron dot) structure of POCl3 (with P as the central element) and PCl3 and predict the shape of each molecule, using the valence shell electron pair repulsion theory (VSEPR).
State and explain the Cl–P–Cl bond angle in PCl3.
Deduce the Lewis (electron dot) structure of PCl5.
Predict the shape of this molecule, using the valence shell electron pair repulsion theory (VSEPR).
Identify all the different bond angles in PCl5.
PCl3Br2 has the same molecular shape as PCl5. Draw the three isomers of PCl3Br2 and deduce whether each isomer is polar or non-polar.
Define the term ligand.
Explain why the complex [Cr(H2O)3Cl3] is coloured.
Iron has three main naturally occurring isotopes which can be investigated using a mass spectrometer.
State the full electronic configurations of a Cu atom and a \({\text{C}}{{\text{u}}^ + }\) ion.
Cu:
\({\text{C}}{{\text{u}}^ + }\):
Explain the origin of colour in transition metal complexes and use your explanation to suggest why copper(II) sulfate, CuSO4(aq), is blue, but zinc sulfate, ZnSO4(aq), is colourless.
\({\text{C}}{{\text{u}}^{2 + }}{\text{(aq)}}\) reacts with ammonia to form the complex ion \({{\text{[Cu(N}}{{\text{H}}_{\text{3}}}{{\text{)}}_{\text{4}}}{\text{]}}^{2 + }}\). Explain this reaction in terms of an acid-base theory, and outline how the bond is formed between \({\text{C}}{{\text{u}}^{2 + }}\) and \({\text{N}}{{\text{H}}_{\text{3}}}\).
Bromine is a member of group 7, the halogens.
Iron is a transition metal.
Freshly prepared iron(II) bromide can be electrolysed both in the liquid state and in aqueous solution.
Explain the trend in reactivity of the halogens.
Deduce, using equations where appropriate, if bromine reacts with sodium chloride solution and with sodium iodide solution.
Describe the bonding in metals and explain their malleability.
List three characteristic properties of transition elements.
Identify the type of bonding between iron and cyanide in \({{\text{[Fe(CN}}{{\text{)}}_{\text{6}}}{\text{]}}^{3 - }}\).
Deduce the oxidation number of iron in \({{\text{[Fe(CN}}{{\text{)}}_{\text{6}}}{\text{]}}^{3 - }}\).
Draw the abbreviated orbital diagram for an iron atom using the arrow-in-box notation to represent electrons.
Draw the abbreviated orbital diagram for the iron ion in [Fe(CN)6]3– using the arrow-in-box notation to represent electrons.
Describe, using a diagram, the essential components of an electrolytic cell.
Describe the two ways in which current is conducted in an electrolytic cell.
Predict and explain the products of electrolysis of a dilute iron(II) bromide solution.
Identify another product that is formed if the solution of iron(II) bromide is concentrated.
Explain why this other product is formed.
The emission spectrum of an element can be used to identify it.
Hydrogen spectral data give the frequency of 3.28 × 1015 s−1 for its convergence limit.
Calculate the ionization energy, in J, for a single atom of hydrogen using sections 1 and 2 of the data booklet.
Calculate the wavelength, in m, for the electron transition corresponding to the frequency in (a)(iii) using section 1 of the data booklet.
Deduce any change in the colour of the electrolyte during electrolysis.
Deduce the gas formed at the anode (positive electrode) when graphite is used in place of copper.
Explain why transition metals exhibit variable oxidation states in contrast to alkali metals.
Â
The reaction between carbon monoxide, CO(g), and nitrogen dioxide, \({\text{N}}{{\text{O}}_{\text{2}}}{\text{(g)}}\), was studied at different temperatures and a graph was plotted of \(\ln k\) against \(\frac{1}{T}\). The equation of the line of best fit was found to be:
\[\ln k = - 1.60 \times {10^4}\left( {\frac{1}{T}} \right) + 23.2\]

\[\frac{1}{T}/{\text{1}}{{\text{0}}^{ - 3}}{{\text{K}}^{ - 1}}\]
(i) State the full electron configuration of Fe.
(ii) State the abbreviated electron configuration of \({\text{F}}{{\text{e}}^{3 + }}\) ions.
(iii) Cyanide ions, \({\text{C}}{{\text{N}}^ - }\), can act as ligands. One complex ion that involves the cyanide ion is \({{\text{[Fe(CN}}{{\text{)}}_{\text{6}}}{\text{]}}^{3 - }}\). Identify the property of a cyanide ion which allows it to act as a ligand, and explain the bonding that occurs in the complex ion in terms of acid–base theory. Describe the structure of the complex ion, \({{\text{[Fe(CN}}{{\text{)}}_{\text{6}}}{\text{]}}^{3 - }}\).
(iv) Explain why complexes of \({\text{F}}{{\text{e}}^{3 + }}\) are coloured.
(i) The Arrhenius equation is shown in Table 1 of the Data Booklet. Identify the symbols \(k\) and A.
\(k\):
A:
(ii) Calculate the activation energy, \({E_{\text{a}}}\), for the reaction between CO(g) and \({\text{N}}{{\text{O}}_{\text{2}}}{\text{(g)}}\).
(iii) Calculate the numerical value of A.
Brass is a copper containing alloy with many uses. An analysis is carried out to determine the percentage of copper present in three identical samples of brass. The reactions involved in this analysis are shown below.
\[\begin{array}{*{20}{l}} {{\text{Step 1: Cu(s)}} + {\text{2HN}}{{\text{O}}_3}{\text{(aq)}} + {\text{2}}{{\text{H}}^ + }{\text{(aq)}} \to {\text{C}}{{\text{u}}^{2 + }}{\text{(aq)}} + {\text{2N}}{{\text{O}}_2}{\text{(g)}} + {\text{2}}{{\text{H}}_2}{\text{O(l)}}} \\ {{\text{Step 2: 4}}{{\text{I}}^ - }{\text{(aq)}} + {\text{2C}}{{\text{u}}^{2 + }}{\text{(aq)}} \to {\text{2CuI(s)}} + {{\text{I}}_2}{\text{(aq)}}} \\ {{\text{Step 3: }}{{\text{I}}_2}{\text{(aq)}} + {\text{2}}{{\text{S}}_2}{\text{O}}_3^{2 - }{\text{(aq)}} \to {\text{2}}{{\text{I}}^ - }{\text{(aq)}} + {{\text{S}}_4}{\text{O}}_6^{2 - }{\text{(aq)}}} \end{array}\]
In step 1 the copper reacts to form a blue solution.
State the full electronic configuration of \({\text{C}}{{\text{u}}^{2 + }}\).
Explain why the copper solution is coloured.
Explain why copper is considered a transition metal while scandium is not.
Trends in physical and chemical properties are useful to chemists.
Cobalt forms the transition metal complex [Co(NH3)4 (H2O)Cl]Br.
Explain why the melting points of the group 1 metals (Li → Cs) decrease down the group whereas the melting points of the group 17 elements (F → I) increase down the group.
State the shape of the complex ion.
Deduce the charge on the complex ion and the oxidation state of cobalt.
Describe, in terms of acid-base theories, the type of reaction that takes place between the cobalt ion and water to form the complex ion.
The electron configuration of chromium can be expressed as \({\text{[Ar]4}}{{\text{s}}^{\text{x}}}{\text{3}}{{\text{d}}^{\text{y}}}\).
Hydrogen and nitrogen(II) oxide react according to the following equation.
\[2{{\text{H}}_2}{\text{(g)}} + {\text{2NO(g)}} \rightleftharpoons {{\text{N}}_2}{\text{(g)}} + {\text{2}}{{\text{H}}_2}{\text{O(g)}}\]
At time = \(t\) seconds, the rate of the reaction is
\[{\text{rate}} = k{\text{[}}{{\text{H}}_2}{\text{(g)][NO(g)}}{{\text{]}}^2}\]
When concentrated hydrochloric acid is added to a solution containing hydrated copper(II) ions, the colour of the solution changes from light blue to green. The equation for the reaction is:
\[{{\text{[Cu(}}{{\text{H}}_2}{\text{O}}{{\text{)}}_6}{\text{]}}^{2 + }}{\text{(aq)}} + {\text{4C}}{{\text{l}}^ - }{\text{(aq)}} \to {{\text{[CuC}}{{\text{l}}_4}{\text{]}}^{2 - }}{\text{(aq)}} + {\text{6}}{{\text{H}}_2}{\text{O(l)}}\]
Explain what the square brackets around argon, [Ar], represent.
State the values of \(x\) and \(y\).
Annotate the diagram below showing the 4s and 3d orbitals for a chromium atom using an arrow,
and
, to represent a spinning electron.

Explain precisely what the square brackets around nitrogen(II) oxide, [NO(g)], represent in this context.
Deduce the units for the rate constant \(k\).
Explain what the square brackets around the copper containing species represent.
Explain why the \({{\text{[Cu(}}{{\text{H}}_{\text{2}}}{\text{O}}{{\text{)}}_{\text{6}}}{\text{]}}^{2 + }}\) ion is coloured and why the \({{\text{[CuC}}{{\text{l}}_{\text{4}}}{\text{]}}^{2 - }}\) ion has a different colour.
Some words used in chemistry can have a specific meaning which is different to their meaning in everyday English.
State what the term spontaneous means when used in a chemistry context.
Describe the emission spectrum of hydrogen. Outline how this spectrum is related to the energy levels in the hydrogen atom.
Transition elements form complexes such as \({{\text{[Fe(CN}}{{\text{)}}_{\text{6}}}{\text{]}}^{4 - }}\) and \({{\text{[FeC}}{{\text{l}}_{\text{4}}}{\text{]}}^ - }\). Deduce the oxidation number of iron in each of these complex ions.
\({{\text{[Fe(CN}}{{\text{)}}_{\text{6}}}{\text{]}}^{4 - }}\)
\({{\text{[FeC}}{{\text{l}}_{\text{4}}}{\text{]}}^ - }\)
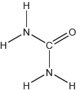
Urea, (H2N)2CO, is excreted by mammals and can be used as a fertilizer.
Urea can also be made by the direct combination of ammonia and carbon dioxide gases.
2NH3(g) + CO2(g) \( \rightleftharpoons \) (H2N)2CO(g) + H2O(g) ΔH < 0
Calculate the percentage by mass of nitrogen in urea to two decimal places using section 6 of the data booklet.
Suggest how the percentage of nitrogen affects the cost of transport of fertilizers giving a reason.
The structural formula of urea is shown.

Predict the electron domain and molecular geometries at the nitrogen and carbon atoms, applying the VSEPR theory.

Â
Urea can be made by reacting potassium cyanate, KNCO, with ammonium chloride, NH4Cl.
KNCO(aq) + NH4Cl(aq) → (H2N)2CO(aq) + KCl(aq)
Determine the maximum mass of urea that could be formed from 50.0 cm3 of 0.100 mol dm−3 potassium cyanate solution.
State the equilibrium constant expression, Kc.
Predict, with a reason, the effect on the equilibrium constant, Kc, when the temperature is increased.
Determine an approximate order of magnitude for Kc, using sections 1 and 2 of the data booklet. Assume ΔGΘ for the forward reaction is approximately +50 kJ at 298 K.
Suggest one reason why urea is a solid and ammonia a gas at room temperature.
Sketch two different hydrogen bonding interactions between ammonia and water.
The combustion of urea produces water, carbon dioxide and nitrogen.
Formulate a balanced equation for the reaction.
Calculate the maximum volume of CO2, in cm3, produced at STP by the combustion of 0.600 g of urea, using sections 2 and 6 of the data booklet.
Describe the bond formation when urea acts as a ligand in a transition metal complex ion.
The C–N bonds in urea are shorter than might be expected for a single C–N bond. Suggest, in terms of electrons, how this could occur.
The mass spectrum of urea is shown below.

Identify the species responsible for the peaks at m/z = 60 and 44.
The IR spectrum of urea is shown below.

Identify the bonds causing the absorptions at 3450 cm−1 and 1700 cm−1 using section 26 of the data booklet.
Predict the number of signals in the 1H NMR spectrum of urea.
Predict the splitting pattern of the 1H NMR spectrum of urea.
Outline why TMS (tetramethylsilane) may be added to the sample to carry out 1H NMR spectroscopy and why it is particularly suited to this role.
Tin(II) chloride is a white solid that is commonly used as a reducing agent.
(i) State why you would expect tin(II) chloride to have a similar lattice enthalpy to strontium chloride, using section 9 of the data booklet.
(ii) Calculate the molar enthalpy change when strontium chloride is dissolved in water, using sections 18 and 20 of the data booklet.
(iii) Tin(II) chloride reacts with water to precipitate the insoluble basic chloride, Sn(OH)Cl.
Suggest why tin(II) chloride is usually dissolved in dilute hydrochloric acid.
Tin can also exist in the +4 oxidation state.
Vanadium can be reduced from an oxidation state of +4 to +3 according to the equation:
(i) Calculate the cell potential, EΘ, and the standard free energy, ΔGΘ, change for the reaction between the VO2+ and Sn2+ ions, using sections 1 and 2 of the data booklet.
EΘ:
ΔGΘ:
(ii) Deduce, giving your reason, whether a reaction between Sn2+(aq) and VO2+(aq) would be spontaneous.
Outline, giving the full electron configuration of the vanadium atom, what is meant by the term transition metal.
In an aqueous solution of vanadium(III) chloride, the vanadium exists as [V (H2O)6]3+, [VCl (H2O)5]2+ or [VCl2(H2O)4]+ depending on the concentration of chloride ions in the solution.
(i) Describe how Cl− and H2O bond to the vanadium ion.
(ii) Outline what would happen to the wavelength at which the vanadium complex ions would absorb light as the water molecules are gradually replaced by chloride ions, using section 15 of the data booklet.
Eight successive ionisation energies of vanadium are shown in the graph below:
(i) State the sub-levels from which each of the first four electrons are lost.
First: Second: Third: Fourth:
(ii) Outline why there is an increase in ionization energy from electron 3 to electron 5.
(iii) Explain why there is a large increase in the ionization energy between electrons 5 and 6.
(iv) Vanadium is comprised almost entirely of 51V. State the number of neutrons an atom of 51V has in its nucleus.